Journal of Traditional Chinese Medicine ›› 2023, Vol. 43 ›› Issue (3): 501-506.DOI: 10.19852/j.cnki.jtcm.2023.03.002
Previous Articles Next Articles
FENG Min1, JIA Ziming1, WAN Ming2, FAN Bolin1, TANG Xiaoqiao1, CHENG Wenhua1, SUN Fanzhong1(
)
Received:2022-02-27
Accepted:2022-06-13
Online:2023-06-15
Published:2023-04-28
Contact:
Mr. SUN Fanzhong, Hubei Provincial Key Laboratory of Applied Toxicology, Hubei Provincial Center for Disease Control and Prevention, Wuhan 430075, China. 298215928@qq.com. Telephone:+86-13886160325
Supported by:FENG Min, JIA Ziming, WAN Ming, FAN Bolin, TANG Xiaoqiao, CHENG Wenhua, SUN Fanzhong. Effectiveness of Fuling (Poria) and its extracts against spleen deficiency in rats via tonifying spleen[J]. Journal of Traditional Chinese Medicine, 2023, 43(3): 501-506.
Figure 1 Body weight, rectal temperature, spleen, and thymus coefficients of different groups of SDSP rats A: body weight; B: rectal temperature; C: thymus coefficient; D: spleen coefficient. Fuling (Poria), LR 0.7: low dose of raw powder; HR 2.0: high dose of raw powder; LC 0.7: low dose of cooked powder; HC 2.0: high dose of cooked powder; LS 0.7: low dose of substitute cultivation; HS 2.0: high dose of substitute cultivation; LA 0.04: low dose of aqueous extract; MA 0.12: moderate dose of aqueous extract; HA 0.36: high dose of aqueous extract group; LAL 0.02: low dose of alcohol extract group; MAL 0.06: moderate dose of alcohol extract; HAL 0.18: high dose of alcohol extract. SDSP: spleen-deficiency symptom pattern. The data presented are the mean?±?standard error of mean (n = 14).
Figure 2 MTL, GAS, IL-2 and IL-4 levels in serum and kidney in all groups of SDSP rats A: MTL; B:GAS; C: IL-2; D: IL-4. Fuling (Poria), LR 0.7: low dose of raw powder; HR 2.0: high dose of raw powder; LC 0.7: low dose of cooked powder; HC 2.0: high dose of cooked powder; LS 0.7: low dose of substitute cultivation; HS 2.0: high dose of substitute cultivation; LA 0.04: low dose of aqueous extract; MA 0.12: moderate dose of aqueous extract; HA 0.36: high dose of aqueous extract group; LAL 0.02: low dose of alcohol extract group; MAL 0.06: moderate dose of alcohol extract; HAL 0.18: high dose of alcohol extract. MTL: cytokines motilin; GAS: gastrin; IL-2: interleukin 2. The data presented are the mean?±?standard error of mean (n = 14). aP<0.05, compared with the control group; bP<0.05 and cP<0.01, compared with the model group.
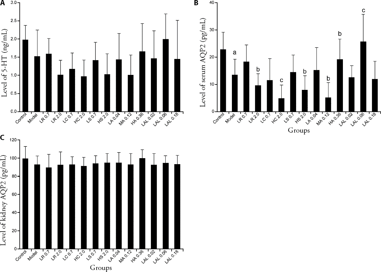
Figure 3 5-HT and AQP2 levels in serum and kidney in all groups of SDSP rats A: 5-HT in serum; B: AQP2 in serum; C: AQP2 in kidney. Fuling (Poria), LR 0.7:low dose of raw powder; HR 2.0: high dose of raw powder; LC 0.7: low dose of cooked powder; HC 2.0: high dose of cooked powder; LS 0.7: low dose of substitute cultivation; HS 2.0: high dose of substitute cultivation; LA 0.04: low dose of aqueous extract; MA 0.12: moderate dose of aqueous extract; HA 0.36: high dose of aqueous extract group; LAL 0.02: low dose of alcohol extract group; MAL 0.06: moderate dose of alcohol extract; HAL 0.18: high dose of alcohol extract. 5-HT: 5-hydroxytryptamine; AQP2: aquaporin 2. The data presented are the mean?±?standard error of mean (n = 14). aP<0.05, compared with the control group; bP<0.05 and cP<0.01, compared with the model group. bP<0.05 and cP<0.01, compared with the model group.
| [1] |
Ma S, Jiang Y, Zhang B, et al. Comparison of the modulatory effect on intestinal microbiota between raw and bran-fried atractylodis rhizoma in the rat model of spleen-deficiency syndrome. Int J Environ Res Public Health 2019; 16: 3183.
DOI URL |
| [2] |
Wu XN. Current concept of spleen-stomach theory and spleen deficiency syndrome in TCM. World J Gastroenterol 1998; 4: 2-6.
DOI URL |
| [3] |
Tu J, Xie Y, Xu K, et al. Treatment of spleen-deficiency syndrome with atractyloside a from bran-processed atractylodes lancea by protection of the intestinal mucosal barrier. Front Pharmacol 2020; 11: 583160.
DOI URL |
| [4] |
You Y, Luo L, You Y, et al. Shengmai Yin formula modulates the gut microbiota of spleen-deficiency rats. Chin Med 2020; 15: 114.
DOI |
| [5] | Lin WX, Du X, Yang LL, et al. Differences in the composition of vaginal microbiota between women exhibiting spleen-deficiency syndrome and women with damp- heat syndrome, two of the most common syndromes of vaginitis in Traditional Chinese Medicine. Evid Based Complement Alternat Med 2019; 2019: 5456379. |
| [6] |
Li X, He Y, Zeng P, et al. Molecular basis for Poria cocos mushroom polysaccharide used as an antitumour drug in China. J Cell Mol Med 2019; 23: 4-20.
DOI URL |
| [7] |
Zhu L, Wang X, Li S, et al. Qualitative and quantitative characterization of carbohydrate profiles in three different parts of Poria cocos. J Pharm Biomed Anal 2020; 179: 113009.
DOI URL |
| [8] |
Wang N, Zhang Y, Wang X, et al. Antioxidant property of water-soluble polysaccharides from Poria cocos Wolf using different extraction methods. Int J Biol Macromol 2016; 83: 103-10.
DOI URL |
| [9] |
Wu K, Guo C, Yang B, et al. Antihepatotoxic benefits of Poria cocos polysaccharides on acetaminophen-lesioned livers in vivo and in vitro. J Cell Biochem 2019; 120: 7482-88.
DOI URL |
| [10] | Wu K, Fan J, Huang X, et al. Hepatoprotective effects exerted by Poria Cocos polysaccharides against acetaminophen-induced liver injury in mice. Int J Biol Macromol 2018; 15: 137-42. |
| [11] | Lu XQ, Yang Y, Zhang HX. Effect of electroacupuncture on gastrointestinal function in rats with liver depression and spleen deficiency syndrome. Hubei Zhong Yi Za Zhi 2016; 38: 1-4. |
| [12] |
Tack J, Deloose E, Ang D, et al. Motilin-induced gastric contractions signal hunger in man. Gut 2016; 65: 214-24.
DOI PMID |
| [13] |
Shi K, Qu L, Lin X, et al. Deep-fried atractylodis rhizoma protects against spleen deficiency-induced diarrhea through regulating intestinal inflammatory response and gut microbiota. Int J Mol Sci 2019; 21: 124.
DOI URL |
| [14] |
Gershon MD. 5-Hydroxytryptamine (serotonin) in the gastrointestinal tract. Curr Opin Endocrinol Diabetes Obes 2013; 20: 14-21.
DOI PMID |
| [15] | Ji H, Dong H. Biological significance and topological basis of aquaporin- partnering protein-protein interactions. Plant Signal Behav 2015; 10: e1011947. |
| [1] | HAN Yunpeng, YU Wentao, ZHANG Ying, XU Huazhou, DENG Guoxing, FANG Chaoyi. Qinghua decoction (清化饮) improves chronic nonbacterial prostatitis possibly via regulating the chromogranin A/nerve growth factor/tyrosine kinase A signaling pathway mediated by inflammatory factors [J]. Journal of Traditional Chinese Medicine, 2023, 43(4): 695-703. |
| [2] | ZHAO Ye, WANG Xian, GU Ling, LI Zihang, ZHU Jingtian, WANG Wenkai, ZHANG Liang, XUE Mei. Efficacy of Danggui Buxue decoction (当归补血汤) on diabetic nephropathy-induced renal fibrosis in rats and possible mechanism [J]. Journal of Traditional Chinese Medicine, 2023, 43(3): 507-513. |
| [3] | Fazle Rabbi, Amir Zada, Amna Nisar. Assessment of phytotoxic, genotoxic and enzyme inhibition potential of Sterculia diversifolia [J]. Journal of Traditional Chinese Medicine, 2022, 42(4): 595-603. |
| [4] | LAN Taijin, LUO Xuefei, MO Mingyue, CHEN Zhenxing, LUO Fei, HAN Siyin, LIU Peng, LIANG Zhongxiu, ZHANG Ting, LI Tianyi, YAN Qiangqiang, LIN Yong, LIN Jiang. Hydrolyzed seawater pearl tablet modulates the immunity via attenuating Th1/Th2 imbalance in an immunosuppressed mouse model [J]. Journal of Traditional Chinese Medicine, 2021, 41(3): 397-405. |
| [5] | Zhang Yandong, Biao Yaning, Chu Xinqiao, Hao Lei, Shi Cheng, Liu Yu, Zhang Yixin, Wang Xi. Protective effect of Chushizi(Fructus Broussonetiae) on acetaminophen-induced rat hepatitis by inhibiting the Toll-like receptor 3/c-Jun N-terminal kinase/c-jun/c-fos/janus protein tyrosine kinase/activators of transcription 3 pathway [J]. Journal of Traditional Chinese Medicine, 2020, 40(6): 965-973. |
| [6] | Mu Jie, Cheng Fafeng, Wang Qingguo, Wang Xueqian, Zhu Wenxiang, Ma Chongyang, Yin Xiangjun, Ren Beida, Lian Yajun, Du Xin, Zhang Haixia, Liu Shuling, Zhang Shuang. Sini powder ameliorates the inflammatory response in rats with stress-induced non-alcoholic fatty liver disease by inhibiting the nuclear factor kappa-B/pyrin domain-containing protein 3 pathway [J]. Journal of Traditional Chinese Medicine, 2020, 40(2): 253-266. |
| [7] | Bai Yu, Chen Yongcan, Chen Yu, Yan Maoxiang, Wei Hongquan, Wang Hengcang, Zeng Guoliang, Yang Xiyin. Efficacy of Banxia Xiexin decoction in a rat model of chronic atrophic gastritis [J]. Journal of Traditional Chinese Medicine, 2019, 39(06): 867-874. |
| [8] | Jiang Liyuan, He Jiaojun, Chen Xixi, Chen Huade. Effect of electroacupuncture on arginine vasopressin-induced endolymphatic hydrops [J]. Journal of Traditional Chinese Medicine, 2019, 39(02): 221-228. |
| [9] | Ai Nogami-Hara, Kaori Kubota, Kotaro Takasaki, Takuya Watanabe, Nobuaki Egahira, Hikari Iba, Risako Fujikawa, Shutaro Katsurabayashi, Funda Bolukbasi Hatip, Izzettin Hatip-Al-Khatib, Katsunori Iwasaki. Extract of Yokukansan improves anxiety-like behavior and increases serum brain-derived neurotrophic factor in rats with cerebral ischemia combined with amyloid-β42 peptide [J]. Journal of Traditional Chinese Medicine, 2019, 39(01): 50-58. |
| [10] | Xia Xichao, Ma Yuhong, Wang Fuan, Zheng Xinhua, Liu Yang, Zhang Junfeng, Cui Juan, Shi Bingqin, Li Hongwen, Liu Rongzhi, Zhang Yaping, Cheng Zhaofei, Han Xiaolong. Effects of extracts from Chuanwu(Aconitum Carmichaelii) and Banxia(Rhizoma Pinelliae) on excisional wound healing in a rat's model [J]. Journal of Traditional Chinese Medicine, 2019, 39(01): 65-73. |
| [11] | Akuodor Godwin Christian, Ezeonu Chinonyelum Thecla, Essien Augustine Dick, Asika Ebere Chile, Chilaka Kingsley Chimsorom, Nwachukwu Daniel Ckukwu, Nwobodo Ndubuisi Nwobodo. In vivo antiplasmodial activity of Bombax buonopozense root bark aqueous extract in mice infected by Plasmodium berghei [J]. Journal of Traditional Chinese Medicine, 2017, 37(04): 431-435. |
| [12] | Zhang Jinchao, Sun Yan, Zhang Shujing, Gao Yushan, Wang Zhenyi, Liu Xiaolei, Yang Jiamin, Li Yuhang. Influence of Sanao Tang on urine volume and expression of aquaporin 2 in rats with respiratory function impairment induced by passive smoking and lipopolysaccharide [J]. Journal of Traditional Chinese Medicine, 2016, 36(06): 749-755. |
| [13] | Su-Hyeon Jeong, Ji-Eun Lee, Seong-Ho Jin, Youngkyung Ko, Jun-Beom Park. Effect of Asiasari radix on osteoblastic differentiation of stem cells derived from gingiva [J]. Journal of Traditional Chinese Medicine, 2016, 36(06): 756-759. |
| [14] | Liu Yi, Feng Hui, Mo Yali, Gao Jingfang, Mao Hongjing, Song Mingfen, Wang Shengdong, Yin Yan, Liu Wenjuan. Effect of soothing-liver and nourishing-heart acupuncture on early selective serotonin reuptake inhibitor treatment onset for depressive disorder and related indicators of neuroimmunology:a randomized controlled clinical trial [J]. Journal of Traditional Chinese Medicine, 2015, 35(05): 507-513. |
| [15] | Song Guohong, Zhang Qiumei, Pang Baozhen, He Lijuan, Saimaiti Julaiti, Tulahong Aisikeer, Gao Xuan, You Lina, Wuxiuer Reyihan, Zhou Wentao, Pang Qingyang. Effects of different Chinese herbal prescriptions on cytokines in autoimmune prostatitis rats [J]. Journal of Traditional Chinese Medicine, 2015, 35(02): 211-217. |
| Viewed | ||||||
|
Full text |
|
|||||
|
Abstract |
|
|||||
Sponsored by China Association of Chinese Medicine
& China Academy of Chinese Medical Sciences
16 Nanxiaojie, Dongzhimen Nei, Beijing, China. 100700 Email: jtcmen@126.com
Copyright 2020 Journal of Traditional Chinese Medicine. All rights reserved.
